L'expérience de Michelson et Morley
L'idée que la lumière ait besoin d'un support, l'éther, pour vibrer était très répandue. Pouvait-on mettre en évidence le mouvement de la Terre par rapport à ce support hypothétique ? Tel était l'enjeu de l'expérience.
| Michelson avait développé un interféromètre très précis. Le principe consistait à faire interférer deux faisceaux lumineux, issus d'une même source, après leur avoir fait parcourir des trajets aller-retour égaux, ou quasiment égaux, dans deux directions perpendiculaires. Les retours sont obtenus par des miroirs placés sur les deux bras du support (voir la figure). Si le chemin optique de la lumière varie sur un des bras, soit parce que celui-ci change de longueur, soit parce que la vitesse de la lumière varie, la figure d'interférence (anneaux ou franges, selon la configuration de l'appareil) se déforme. |
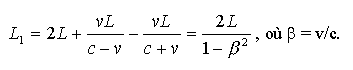
Le chemin optique s'exprime comme le produit de la longueur du trajet par l'indice de réfraction (rapport de la vitesse de la lumière dans le vide à la vitesse de la lumière). Nous allons nous placer dans le référentiel de l'éther où la vitesse de la lumière est constante et égale à c. Nous n'aurons donc pas à considérer l'indice de réfraction, seule la longueur du trajet effectif devra être considérée. Calculons donc les trajets effectifs de la lumière, L1 et L2, pour les deux directions considérées: parallèle à la translation de la Terre sur son orbite et perpendiculaire à cette même direction. Nous noterons v la vitesse de la Terre sur son orbite et L la longueur de chacun des bras de l'interféromètre. Nous adopterons un point de vue classique.
Pour la direction orientée dans le sens de déplacement de la Terre, la lumière doit parcourir à l'aller une longueur L, augmentée du déplacement du miroir de renvoi pendant cette partie du trajet. La longueur effective est donc L + v.t1, où t1 est le temps L/(c-v) que la lumière met pour atteindre le miroir. Pour le trajet de retour on a de même une longueur L - v.t2, où t2 est L/(c+v), temps que la lumière met pour revenir à son point de départ, après réflexion sur le miroir. La longueur totale du trajet aller-retour est donc:
La durée du trajet aller-retour pour le bras perpendiculaire à la direction de translation est plus compliquée à calculer. En effet, l'interféromètre se déplaçant, la longueur du trajet effectif de la lumière, dans le référentiel de l'éther, sera la composition de la longueur L2/2 et du déplacement v.t2, où t2 est le temps aller (ou retour) de ce trajet, c'est-à-dire L2/2. En utilisant le théorème de Pythagore, la longueur effective sera donc :
D'où l'on tire la longueur du chemin optique pour le deuxième bras :
Notons que nous aurions pu faire le calcul dans le référentiel de la Terre au lieu de celui de l'éther. Le calcul aurait été un peu différent mais le résultat aurait été le même.
Le chemin optique des trajets n'est pas le même dans une direction et dans l'autre. Si donc on observe la figure d'interférence en faisant tourner l'ensemble de l'interféromètre, on devrait la voir se modifier, selon l'orientation des bras vis-à-vis de la direction de translation de la Terre. Or il n'en fut rien.
L'éther était-il entraîné avec la Terre ?
L'interféromètre subissait-il une déformation juste capable de compenser l'effet attendu ?
Autant de questions qui plongèrent les physiciens dans la perplexité.
On voit que si le chemin optique dans la direction de translation de la Terre se contractait d'un facteur : , les chemins optiques demeureraient identiques. C'est ce qu'ont proposé plusieurs physiciens, dont les auteurs de l'expérience ainsi que Fitzgerald et Lorentz. Cette contraction était certes ad hoc, mais c'était la seule qui pût réconcilier cette expérience avec la mécanique de Newton.
