La gravitation (activités) : construction d'une balance de Cavendish
Georges Paturel, Observatoire de Lyon
Il y a bien longtemps que je rêvais de monter l'expérience de Cavendish mais sans oser m'y attaquer. Attention, cette réalisation, même si elle ne pose pas de problème technique insurmontable est malgré tout assez délicate et il faut prendre des précautions élémentaires pour la sécurité, notamment lorsqu'on coulera les sphères en plomb.
Le matériel
La première chose à faire est de rassembler le matériel et principalement le plomb. En parlant de mon projet à quelques collègues et amis je reçus bientôt plus de plomb qu'il n'était nécessaire (6 ou 7 kilogrammes), sous la forme de vieux tuyaux. Je récupérai un tube en aluminium, d'un mètre de long et d'environ 25 millimètres de diamètre, Pour le reste, un peu de bois, quelques chutes de tôle d'aluminium, une cassette de magnétophone. Enfin, il faut récupérer un petit miroir (on pourrait prendre un petit morceau d'un CD) et un pointeur laser. Nous pouvons commencer la réalisation, mais avant, je vous montre une photo de la balance terminée (figure1).
Figure 1 : La balance de Cavendish terminée.
Je ne prétends pas que la réalisation est la plus commode et vous pourrez faire mieux sans doute. Mais au moins vous savez qu'en respectant les caractéristiques essentielles le résultat sera correct. Nous allons décrire tout d'abord la réalisation des sphères de plomb. C'est de loin la partie la plus délicate.
Réalisation des sphères de plomb
J'ai commencé par la fabrication des petites sphères. J'avais une bille d'acier de 2,5 cm de diamètre. C'est elle qui m'a servi de modèle. J'ai utilisée la méthode classique des fondeurs, avec du sable spécial de moulage et un châssis en bois de ma confection. Je ne vais pas décrire la méthode car ce n'est pas celle que je vous recommande. La technique qui m'a permis de faire les grosses sphères me parait bien plus facile à mettre en uvre.
Technique de moulage au plâtre. Les sphères modèles sont constituées d'une bille de 2,5 cm de diamètre, en acier, pour les petites sphères et une boule en polystyrène de 7 cm de diamètre pour les grosses sphères. On commence par badigeonner la sphère modèle avec du savon noir à l'aide d'un pinceau. Puis on remplit de plâtre un pot en plastique (fromage blanc) jusqu'au quart de sa hauteur. Pour mémoire, pour gâcher le plâtre il faut verser le plâtre dans l'eau, et non le contraire. Quand le plâtre est dur, on pose le modèle de sphère sur ce socle encore frais. On complète avec du plâtre un peu liquide jusqu'au milieu de la sphère modèle (on aura pris soin de tracer le cercle équatorial avant l'opération). On attend alors que le plâtre soit bien dur. On démoule le bloc qui constitue la première partie du moule. On vérifie que la sphère modèle se décolle facilement. Avec un couteau on fait trois encoches en vé sur les bords du moule. Ces encoches serviront de détrompeur pour que les deux parties du moule soient toujours placées exactement dans la même position.
| On remet ensuite le bloc de plâtre et le modèle dans le pot en plastique. On badigeonne la surface et les encoches avec du savon (on peut sans inconvénient remettre une couche de savon sur la demie sphère apparente). On remplit ensuite complètement le pot avec une nouvelle coulée de plâtre. On a ainsi constitué la deuxième partie du moule. Quand le plâtre est bien dur et bien sec, on ouvre les deux parties du moule, on enlève la sphère modèle. Le moule définitif est presque terminé. Il ne reste qu'à tailler au couteau deux demies cheminées coniques de coulage sur chacun des deux blocs du moule, de telle manière que, une fois le moule refermé, les deux demies cheminées constituent une unique cheminée conique. Cette cheminée ne doit pas être trop étroite (8 à 10 mm de diamètre) pour que l'air puisse sortir du moule pendant la coulée du plomb. Pour le moule original que j'ai réalisé pour les grosses sphères j'avais fait une cheminée cylindrique dans le bloc supérieur comme on peut le voir sur la figure 3. Ceci rendait le démoulage difficile à cause du cône de plomb qui restait dans la cheminée. Il est préférable de faire une cheminée conique entre les deux parties du moule, comme celle qu'on voit sur la figure 3, pour le petit moule. Ainsi, le démoulage ne pose aucun problème.
| Figure 3 : Les moules en plâtre. |
Coulée du plomb fondu.
Les grosses sphères de 7 cm de diamètre ont une masse de 2 kg. Fondre une telle masse réclame une parfaite organisation et une grande vigilance. Il est conseillé de faire l'opération, dehors, à même le sol. Le métal est fondu au chalumeau à butane dans une casserole de fer en tôle épaisse. La casserole était entourée de briques réfractaires et, détail important, je me plaçais de telle sorte que le vent éloigne de moi les vapeurs. En effet, au-dessus de 327 degrés, avant même l'ébullition, le plomb donne des vapeurs nocives qu'il faut éviter de respirer.
Le coulage proprement dit ne pose pas de problème. Les deux parties du moule étant fermement maintenues ensemble par un serre-joint (ou un fil de fer) et le tout étant solidement fixé au sol, on saisit le manche de la casserole avec des maniques de cuisine et on coule doucement le métal dans la cheminée. On écarte éventuellement les scories de surfaces avec une tige métallique. On laisse refroidir longuement et on démoule. Si tout s'est bien passé on obtient une belle sphère. Le moule est prêt à resservir pour une autre sphère. Les Figures 4 et 5 présentent le matériel utilisé. Quand vous aurez terminé cette opération le plus difficile sera fait. La suite ne pose pas de problème majeur à une personne quelque peu méticuleuse.
Figure 4 : Le matériel de moulage. | Figure 5 : Gros plan sur la casserole. |
La balance
Le ruban de suspension.
Si vous avez lu les autres pages de ce site, vous avez compris qu'il y a intérêt, comme l'a montré Boys, à réaliser une balance minuscule pour pouvoir utiliser un fil de suspension extrêmement fin. Le couple de rappel variant comme la puissance quatrième du diamètre du fil, plus le fil est fin, plus grande est la déviation de la balance de torsion lors de l'attraction mutuelle des petites et des grosses sphères. Le problème est qu'il n'est pas facile de manipuler des fils de quelques microns de diamètre. D'où l'idée d'utiliser un ruban de suspension, offrant une bonne résistance à la rupture mais un faible couple de torsion. J'eus l'idée d'utiliser du vulgaire aluminium de cuisine dont l'épaisseur est d'environ 10 microns. Un rapide calcul montre qu'une largeur de 5 mm doit supporter les 200 g de la balance (chaque petite sphère a une masse de 100 g). Mais la réalisation est délicate. Dans la dernière version j'ai tout simplement utilisé une bande magnétique d'une cassette. C'est infiniment plus facile à réaliser que le ruban d'aluminium.
figure 6 : Une erreur sans "gravité"
Le boîtier.
Le boîtier a été réalisé dans une planche épaisse (3,5 cm) dont le centre a été évidé. Un trou circulaire a été pratiqué sur le dessus pour recevoir le tube d'aluminium qui abrite le ruban de suspension. Deux boîtiers de CD ont été collés à l'Araldite de part et d'autre du tube pour servir d'équerres perdues. Ce boîtier a été collé sur une planche reposant sur trois boulons en triangle qui permettent de régler la verticalité du tube. Un "U" en tôle d'aluminium permet d'immobiliser le fléau, lors des transports, en abaissant le point supérieur de fixation du ruban.
Le fléau.
Le fléau est découpé dans une tôle d'aluminium selon le dessin de la Figure 7 et rigidifié par deux baguettes en bois de balsa. Les petites sphères de plomb sont collées à la colle cyanocrylate sur les pattes des extrémités du fléau. Un petit miroir est collé sur la languette située au milieu, sous le fléau. Une fente permet de fixer le ruban de suspension. Le bord tranchant supérieur de cette fente a été protégé par un petit tube de laiton fendu.
Figure 7 : description du fléau. | Figure 8 : Le système de suspension du ruban, au sommet du tube. En débloquant la tige de suspension on peut abaisser le fléau pour qu'il repose sur un support. |
Mise en place du fléau.
Le ruban de suspension est fixé sur son système d'accrochage (Figure 8) et glissé dans le tube d'aluminium. Le fléau repose sur le support en "U". On glisse l'extrémité libre du ruban dans la fente du fléau et on la fait remonter sur une hauteur de quelques centimètres. On colle alors le ruban sur lui-même avec une goutte de colle cyanocrylate. Quand la colle est sèche il suffit de relever délicatement le point de suspension du ruban et de l'immobiliser pour que la balance soit en position. On ferme enfin le boîtier par deux vitres de verre. Pour une réalisation économique, on peut remplacer une des vitres par une feuille de carton (ce qui fera dire à quelques uns : "mais la gravitation passe à travers le carton ?").
Les réglages.
On place la balance dans un local isolé, avec un sol bien rigide (dalle en béton) et on règle la verticalité du tube pour que le ruban soit bien libre. Ensuite, en jouant sur le point de suspension du ruban, on règle l'orientation du fléau pour le placer parallèlement aux faces transparentes du boîtier. Cette opération est très longue. Il faudra sans doute plusieurs jours pour obtenir un réglage parfait.
Vous mettez à profit les longues attentes nécessitées par les réglages pour monter les glissières de bois sur lesquelles les grosses sphères vont se déplacer. Avec quelques baguettes et quelques chutes de bois le travail n'est pas difficile. Il faut simplement veiller à ce que ces glissières n'aient aucun contact avec la balance. J'ai collé les baguettes directement sur le sol avec de la colle thermo-fusible. Les grosses sphères sont collées avec cette même colle sur les parties mobiles des glissières. Quand on fait passer une grosse sphère d'un côté à l'autre, elle doit passer très près du boîtier (quelques millimètres) sans jamais le toucher.
| Il reste aussi à mettre en place le pointeur laser. Je l'ai fixé sur un bâti de bois collé à même le sol. Le faisceau laser est dirigé sur le petit miroir du fléau. Il s'y réfléchit et va former un spot à l'autre bout de la pièce sur un petit écran (feuille de papier millimétrée collée en face de la balance). Attention de ne pas diriger le faisceau dans l'il de quelqu'un. J'ai parfois utilisé un simple petit pointeur laser d'un prix très modique.
| Figure 9 : Le pointeur laser collé sur le sol. |
Réalisation de l'expérience
C'est avec une certaine émotion qu'on effectue le premier essai. Il faut beaucoup de calme mais le résultat est spectaculaire. Il faut laisser la balance se reposer de nombreuses heures, les grosses sphères étant placées par exemple l'une devant la petite sphère de droite et l'autre derrière la petite sphère de gauche. Le mieux est d'attendre toute une nuit. Vous arrivez alors le lendemain, sur la pointe des pieds, vous allumez le laser et notez la position du spot sur le papier millimétré. Si vous n'avez pas perturbé le système par des déplacements violents, le spot doit être immobile. Vous allez calmement faire glisser les grosses sphères pour les amener en face des petites sphères opposées (sans toucher la balance) et vous revenez surveiller le spot, à pas de loup. Lentement vous le verrez se déplacer (le déplacement est visible après quelques secondes). Vérifiez que le déplacement est bien dans la direction que laissait prévoir la géométrie du système. Le spot se déplacera de plusieurs centimètres et oscillera ainsi jusqu'à trouver une nouvelle position d'équilibre, après plusieurs heures. Vous pourrez répéter l'opération en inversant à nouveau les grosses sphères. Par plaisir j'ai du faire l'expérience une trentaine de fois. Chaque visiteur avait droit à un passage par ma cave pour voir l'expérience. La gravitation n'a jamais été prise en défaut. Il reste à envisager maintenant la mesure de la constante de la gravitation universelle G.
Les caractéristiques.
Avant l'assemblage de la balance, j'avais déterminé avec autant de précision que possible les caractéristiques des éléments : masse des sphères et longueur du fléau. Une fois en position, nous avons déterminé les autres caractéristiques que nous récapitulons.
La pesée des sphères se fait avec une petite balance de cuisine. Les petites sphères de 2,5 cm de diamètre ont une masse de m = 93 g chacune. Les grosses sphères de 7 cm de diamètre ont une masse M1 = 2080 g et M2 = 2010 g, respectivement. Nous adopterons pour les deux une valeur moyenne M = 2045 g. La longueur du fléau, ou plus exactement, la distance entre les centres des petites sphères collées sous le fléau est 2.b = 19 cm.
La première caractéristique à mesurer est la période d'oscillation, T, de la balance. En effet, la sensibilité de la balance augmente comme le carré de la période. Dans la méthode traditionnelle, la période permet indirectement de déterminer les caractéristiques mécaniques, C, du ruban de suspension. Une mesure patiente du temps que met le spot lumineux pour faire un grand nombre d'aller et retour fournit la période avec une bonne précision. J'ai trouvé : T = 148,3 s. Quand j'ai obtenu cette valeur, j'ai compris que l'attraction universelle serait visible. C'était en effet approximativement la période de la balance de Boys.
J'ai déterminé ensuite la distance minimale, d, entre les centres d'une grosse sphère et d'une petite. Pour cela, j'ai simplement mesuré la distance D entre les rails supportant les grosses sphères. La figure 10 montre que l'on peut déduire très facilement d = D/2. J'ai mesuré D = 11,5 cm. La valeur est donc d = 5.75 cm. Cette distance varie au cours de la mesure, mais cette variation est négligeable compte tenu de la précision espérée.
Figure 10 : Schéma montrant comment déterminer la distance entre
le centre d'une grosse sphère et celui d'une petite sphère d=D/2.
La distance L, entre le centre du miroir et l'écran de projection, a été soigneusement mesurée avec un mètre à ruban. Le résultat obtenu est : L = 4910 mm. Plus cette distance est grande, plus précise sera la mesure de la rotation du fléau. On peut calculer qu'une rotation d'un degré donnerait à cette distance un déplacement du spot lumineux de 17 cm, car il ne faut pas oublier que par réflexion sur le miroir le faisceau tourne d'un angle double.
Nous négligeons la masse du petit miroir et celle du fléau. Ces masses interviennent normalement dans l'expression du moment d'inertie de la balance. En les négligeant, l'expression du moment d'inertie se simplifie et sa mesure explicite n'est pas nécessaire. Il entre implicitement dans l'expression de la période que l'on a mesurée.
Première mesure.
J'ai effectué une première mesure par la méthode traditionnelle. C'est-à-dire, que l'on mesure le déplacement du spot pour les deux positions d'équilibre du fléau, selon que les sphères attractives sont dans une position extrême ou dans l'autre. C'est la méthode décrite dans la page d'approfondissement. C'est aussi la méthode historique. Cette méthode n'a pas donné un très bon résultat car le ruban de suspension présentait probablement un peu de rémanence, ou plus simplement sa suspension n'était pas assez rigide. L'ordre de grandeur était correct mais ce n'était pas satisfaisant. La méthode dynamique décrite ci-dessous a donné un bien meilleur résultat.
Méthode dynamique.
Au tout début de l'attraction, quand on vient juste de faire glisser une grosse sphère en face d'une petite, le ruban n'offre pas de résistance à la torsion. La petite sphère "tombe" librement sur la grosse, en assimilant la très petite rotation à un déplacement linéaire. Si nous parvenions à mesurer l'accélération de cette "chute", nous pourrions en déduire G. L'accélération s'écrit :
Comment mesurer a ?
Il faut enregistrer simultanément le déplacement (de la petite sphère, donc du spot) et le temps. Pour parvenir à cela, j'ai collé une montre digitale sur le papier millimétré où se formait le spot lumineux. La montre est mise en mode chronomètre. On attend le repos parfait du spot et on démarre le chronomètre au moment précis où les grosses sphères sont déplacées. J'ai réalisé une série de photos du spot et de la montre, comme illustré à la Figure 11.
Figure 11 : Les photos successives montrant le spot et le chronomètre.
On peut mesurer ainsi l'accélération produite par une sphère attractive.
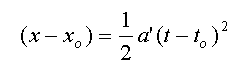
J'ai mesuré le déplacement y par rapport à une origine arbitraire. Le temps est noté au dixième de seconde. On trouve, à partir des cinq premières photos, le temps t et la position y du spot (cf. tableau 1 et figure 12) :
Tableau 1 : mesure de temps t et de déplacement du spot y
pour déduire l'accélération (voir texte).
Le déplacement y du spot est converti en déplacement x des petites sphères par la relation géométrique. Comme précédemment le facteur 2 prend en compte le fait que la réflexion du faisceau lumineux donne une déviation double (b est la demie largeur du fléau et L la distance entre le miroir et l'écran) :
L'accélération est normalement donnée par la relation classique de la dynamique :
Mais attention, comme les grosses sphères agissent dans un sens puis dans l'autre, ce que nous déterminons est le double de l'accélération cherchée a=a'/2. En revanche, le fait qu'il y ait deux petites sphères ne change rien, car chacune acquiert la même accélération.
Les quantités nécessaires sont données dans le Tableau 1. La représentation graphique (Figure 4) de a = a'/2 montre que l'accélération est à peu près constante pendant les premières secondes.
On déduit de ces mesures que l'accélération est : a = 130×10-6/3000 m.s-2,
soit :
a = 4,33 ×10-8 m.s-2.
Il ne nous reste plus qu'à déduire G = a.d2/M. Avec d = 0,0575 m et M = 2,045 kg on aboutit à la valeur :
G=7,0× 10-11 N.kg-2.m2,
(Au lieu de 6,67× 10-11 N.kg-2.m2)
Figure 12. Représentation graphique de la quantité a'/2 = (x-xo)/(t-to)2.
Les points encerclés correspondent aux mesures
données par les trois photos de la Figure 11.
Conclusion
Si la fabrication de la balance n'est pas trop difficile, en revanche, la réalisation de l'expérience elle-même est d'une extrême difficulté, car il faut la faire dans un local parfaitement calme. Qualitativement, le fonctionnement est très spectaculaire. Quantitativement, c'est un peu plus décevant par la méthode classique, mais la méthode dynamique donne un résultat assez satisfaisant. C'est, de toutes manières une expérience fondamentale captivante qui doit pouvoir se conduire au sein d'un club. Une autre activité, moins pratique, peut consister en la détermination de G à partir des photos et des données ci-dessus.
